335 chủ xe máy có biển số sau nhanh chóng nộp phạt nguội theo Nghị định 168
Nhiều xe máy vi phạm trật tự an toàn giao thông tại các tỉnh thành trong thời gian qua đã được hệ thống camera giám sát và phương tiện thiết bị kỹ thuật nghiệp vụ ghi lại.
- 09-01-2026200 chủ xe có biển số sau nhanh chóng nộp phạt nguội theo Nghị định 168: Vi phạm cùng 1 lỗi có mức phạt lên tới 20 triệu đồng
- 06-01-2026Loạt chủ xe có biển số sau vi phạm ở Hà Nội được camera A.I ghi lại nhanh chóng nộp phạt nguội theo Nghị định 168
- 06-01-2026583 chủ xe vượt đèn đỏ, quá tốc độ... trong tuần nghỉ Tết dương lịch có biển số sau nhanh chóng nộp phạt nguội theo Nghị định 168
Phòng Cảnh sát giao thông Công an tỉnh Bắc Ninh thông báo, từ ngày 27/12/2025 đến ngày 04/01/2026 đã phát hiện 75 trường hợp xe máy vi phạm trật tự an toàn giao thông qua hệ thống camera giám sát giao thông và phương tiện thiết bị kỹ thuật nghiệp vụ. Danh sách cụ thể như sau:
1. Vượt đèn đỏ: 46 trường hợp
29C1-930.87; 98B3-794.81; 98B2-507.41; 98B3-937.80; 98B2-767.19; 98K1-276.46; 98F1-033.24; 98B2-476.13; 98N1-152.16; 98B3-477.84; 98B3-209.47; 98B3-204.83; 98B3-203.71; 98AA-093.95; 98AH-060.23; 98H1-379.60; 98B3-818.07; 98B2-147.76; 98B3-828.25; 98E1-906.18; 98AB-140.17; 98B3-663.80; 98AM-000.94; 98B3-829.39; 98B1-362.86; 98B1-823.38; 98B2-344.48; 98B3-273.31; 98B2-167.15; 98B1-856.71; 98AA-067.84; 98B2-412.96; 98B3-214.48; 98B3-503.01; 98B1-241.94; 98B3-764.08; 98AA-115.11; 98B1-743.68
99AA-527.51; 99AA-386.77; 99AA-985.93; 99AA-598.28; 99AA-535.13; 99AA-413.24; 99F1-159.00
2. Chạy quá tốc độ quy định: 29 trường hợp
12U1-083.96; 12AA-250.18; 15F1-009.56
20G1-596.86; 22AA-318.84; 22AA-43201; 26P1-117.99; 29Y5-758.48; 29F1-136.59; 29V3-627.03
37PA-174.02; 90B3-370.28; 97B2-07722
98K1-373.03; 98B2-22006; 98B3-361.93; 98Y5-9117; 98B3-46229; 98L1-19521; 98D1-598.85
99E1-416.64; 99C1-243.03; 99E1-59389; 99K1-246.34; 99C1-528.27; 99E1-335.43; 99AA-373.42

Chú thích ảnh
Xe máy vượt đèn đỏ. Ảnh: Phòng CSGT Công an tỉnh Bắc Ninh
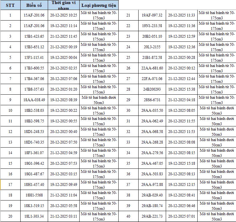
Ngoài ra, Cục Cảnh sát giao thông thông báo, qua trích xuất dữ liệu từ camera A.I được thí điểm lắp đặt tại nội đô Hà Nội, trong tháng 12/2025 đã tự động phát hiện: 260 xe máy vi phạm TTATGT tại TP. Hà Nội. Danh sách cụ thể như sau:


Chú thích ảnh




Từ ngày 1/1/2025, Nghị định 168/2024/NĐ-CP quy định xử phạt, trừ điểm giấy phép lái xe của người điều khiển xe mô tô, xe gắn máy, các loại xe tương tự xe mô tô và các loại xe tương tự xe gắn máy vi phạm quy tắc giao thông đường bộ. Theo đó, các lỗi vi phạm thường gặp được nêu trên sẽ có mức phạt như sau:
- Người điều khiển xe máy đi ngược chiều, đi trên vỉa hè (trừ trường hợp điều khiển xe đi qua vỉa hè để vào nhà, cơ quan); không chấp hành hiệu lệnh của đèn tín hiệu giao thông; sẽ bị phạt tiền từ 4 - 6 triệu đồng và bị trừ 4 điểm.
- Xe máy chạy quá tốc độ quy định sẽ bị phạt: 400.000 đồng đến 600.000 đồng (quá tốc độ quy định từ 5 km/h đến dưới 10 km/h); 800.000 đồng đến 1.000.000 đồng (quá tốc độ từ 10 - 20 km/h); 6 - 8 triệu đồng (quá tốc độ trên 20km/h) và bị trừ 4 điểm trên GPLX.
- Không đội “mũ bảo hiểm cho người đi mô tô, xe máy” hoặc đội “mũ bảo hiểm cho người đi mô tô, xe máy” không cài quai đúng quy cách khi điều khiển xe tham gia giao thông trên đường bộ sẽ bị phạt tiền từ 400.000 - 600.000 đồng.
Để tra cứu phương tiện vi phạm, người dân có thể thực hiện theo các cách dưới đây:
- Tra cứu trên website chính thức của Cục Cảnh sát Giao thông:
Bước 1: Truy cập: https://www.csgt.vn/tra-cuu-phuong-tien-vi-pham.html
Bước 2: Nhập biển số xe, chọn loại phương tiện, nhập mã captcha → bấm Tra cứu.
Bước 3: Nếu có vi phạm sẽ hiện thời gian, địa điểm, lỗi, đơn vị xử lý.
- Tải ứng dụng VNeTraffic - ứng dụng giao thông do Bộ Công an quản lý để kiểm tra thông tin vi phạm hoặc gửi phản ánh trực tiếp đến cơ quan chức năng.
Bước 1: Tải ứng dụng trên Google Play / App Store.
Bước 2: Đăng nhập bằng CCCD gắn chip hoặc số điện thoại.
Bước 3: Vào mục “Tra cứu vi phạm”, nhập biển số xe để xem vi phạm.
Đời sống pháp luật