403 chủ xe có biển số sau nhanh chóng nộp phạt nguội theo Nghị định 168: Có vi phạm mức phạt lên đến 22 triệu đồng
Cục Cảnh sát Giao thông và nhiều tỉnh, thành công bố danh sách các phương tiện vi phạm. Đáng chú ý, có nhiều chủ xe máy bị phạt nguội.
- 15-01-2026316 chủ ô tô, xe máy dưới đây nhanh chóng nộp phạt nguội theo Nghị định 168
- 16-01-2026Danh sách phạt nguội trong 24 giờ qua, chủ xe nộp phạt theo Nghị định 168
- 14-01-2026159 chủ xe trong danh sách sau nhanh chóng nộp phạt nguội theo Nghị định 168
Thời gian gần đây, Cục Cảnh sát giao thông và công an nhiều tỉnh, thành phố liên tiếp công bố danh sách các phương tiện vi phạm trật tự an toàn giao thông (TTATGT) bị xử phạt nguội qua hệ thống camera giám sát. Đáng chú ý, trong các danh sách được công bố, số lượng xe máy vi phạm chiếm tỷ lệ lớn.
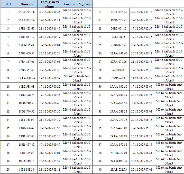
Mới đây, Công an thành phố Hà Nội thông báo danh sách 342 phương tiện vi phạm TTATGT được phát hiện thông qua hệ thống camera AI trong thời gian từ 19/12/2025 đến 21/12/2025. Trong số này có 260 xe máy vi phạm các lỗi như vượt đèn đỏ, đi sai làn, không chấp hành hiệu lệnh giao thông. Phòng Cảnh sát giao thông đã gửi thông báo vi phạm đến các chủ phương tiện theo quy định.






Bên cạnh đó, theo Cục Cảnh sát giao thông, qua trích xuất dữ liệu từ hệ thống camera AI thí điểm lắp đặt tại khu vực nội đô Hà Nội (nút giao Phạm Văn Bạch - Hoàng Quán Chi), trong nhiều khung thời gian khác nhau đã ghi nhận hàng loạt trường hợp xe máy vi phạm.
Cụ thể, từ 12h ngày 12/1/2026 đến 12h ngày 13/1/2026, hệ thống tự động phát hiện 52 trường hợp xe máy vi phạm.


Trước đó, từ 12h ngày 11/1/2026 đến 12h ngày 12/1/2026, ghi nhận 32 trường hợp.

Trong khoảng thời gian từ 12h ngày 10/1/2026 đến 12h ngày 11/1/2026, có 51 trường hợp xe máy vi phạm.


Từ 12h ngày 6/1/2026 đến 12h ngày 7/1/2026, hệ thống phát hiện thêm 45 trường hợp.


Cơ quan chức năng khuyến cáo, các chủ phương tiện cần chủ động tra cứu thông tin vi phạm, nhanh chóng liên hệ cơ quan công an để thực hiện nghĩa vụ nộp phạt theo quy định của Nghị định 168, tránh phát sinh các vướng mắc trong quá trình đăng kiểm, sang tên hoặc giải quyết thủ tục hành chính sau này.
Mức phạt một số lỗi người điều khiển xe máy vi phạm quy định mới theo Nghị định 168/2024/NĐ-CP như sau:
- Người điều khiển xe đi ngược chiều, đi trên vỉa hè (trừ trường hợp điều khiển xe đi qua vỉa hè để vào nhà, cơ quan); không chấp hành hiệu lệnh của đèn tín hiệu giao thông; sẽ bị phạt tiền từ 4-6 triệu đồng.
- Phạt tiền từ 400.000 đồng đến 600.000 đồng đối với người điều khiển xe có hành vi dừng xe, đỗ xe ở lòng đường gây cản trở giao thông; tụ tập từ 03 xe trở lên ở lòng đường, trong hầm đường bộ; đỗ, để xe ở lòng đường, vỉa hè trái phép.
- Hành vi chở theo 02 người trên xe, trừ trường hợp chở người bệnh đi cấp cứu, trẻ em dưới 12 tuổi, người già yếu hoặc người khuyết tật, áp giải người có hành vi vi phạm pháp luật cũng bị phạt tiền từ 400.000 đồng đến 600.000 đồng. Mức phạt này cũng áp dụng đối với hành vi không đội "mũ bảo hiểm cho người đi mô tô, xe máy" hoặc đội "mũ bảo hiểm cho người đi mô tô, xe máy" không cài quai đúng quy cách khi điều khiển xe tham gia giao thông trên đường bộ.
Để tra cứu phương tiện vi phạm, người dân có có thể thực hiện tra cứu phạt nguội trên website của Cục Cảnh sát giao thông hoặc kiểm tra qua ứng dụng VNeTraffic.
Đời sống và pháp luật