MỚI NHẤT!

Đọc nhanh >>

Đại học Ngoại thương quy đổi 24 điểm thi tốt nghiệp bằng 27 điểm học bạ

24-07-2025 - 10:42 AM | Sống

Trường Đại học Ngoại thương vừa công bố chi tiết công thức quy đổi điểm các phương thức xét tuyển vào trường năm 2025.

Căn cứ theo hướng dẫn chung của Bộ GD&ĐT, Đại học Ngoại thương áp dụng phương pháp bách phân vị đưa ra các mức điểm tương đương giữa các phương thức xét tuyển với từng nhóm chương trình đào tạo:

  • Chương trình tiêu chuẩn;
  • Chương trình chất lượng cao và chương trình tiên tiến;
  • Chương trình định hướng nghề nghiệp và phát triển quốc tế;
  • Chương trình khoa học máy tính và dữ liệu trong kinh tế và kinh doanh;
  • Chương trình tiêu chuẩn ngôn ngữ thương mại;
  • Chương trình chất lượng cao ngôn ngữ thương mại.

Bảng quy đổi điểm của Đại học Ngoại thương được xác định căn cứ trên dữ liệu tuyển sinh của 3 năm gần nhất (2022-2024), kết quả học tập của sinh viên đã trúng tuyển theo từng nhóm, phổ điểm xét tuyển kết hợp theo từng nhóm/phương thức xét tuyển và phổ điểm thi tốt nghiệp THPT 2025 theo các tổ hợp môn xét tuyển của trường.

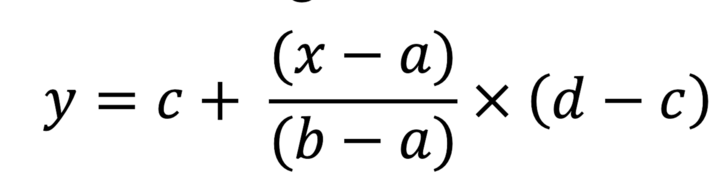
Trong cùng một bảng quy đổi điểm, mức điểm chuẩn “x” thuộc khoảng phân vị (a,b) của phương thức xét tuyển/nhóm đối tượng xét tuyển này sẽ tương đương mức điểm chuẩn “y” thuộc khoảng phân vị (c,d) tương ứng với phương thức xét tuyển/ nhóm đối tượng xét tuyển khác theo công thức như sau:

Đại học Ngoại thương quy đổi 24 điểm thi tốt nghiệp bằng 27 điểm học bạ- Ảnh 1.

Với chương trình tiêu chuẩn

Đại học Ngoại thương quy đổi 24 điểm thi tốt nghiệp bằng 27 điểm học bạ- Ảnh 2.

Với chương trình chất lượng cao và chương trình tiên tiến

Đại học Ngoại thương quy đổi 24 điểm thi tốt nghiệp bằng 27 điểm học bạ- Ảnh 3.

Với chương trình định hướng nghề nghiệp và phát triển quốc tế:

Đại học Ngoại thương quy đổi 24 điểm thi tốt nghiệp bằng 27 điểm học bạ- Ảnh 4.

Với chương trình Khoa học máy tính và dữ liệu trong kinh tế và kinh doanh (thang điểm 40)

Đại học Ngoại thương quy đổi 24 điểm thi tốt nghiệp bằng 27 điểm học bạ- Ảnh 5.

Với chương trình tiêu chuẩn ngôn ngữ thương mại (thang điểm 40)

Đại học Ngoại thương quy đổi 24 điểm thi tốt nghiệp bằng 27 điểm học bạ- Ảnh 6.

Với chương trình chất lượng cao ngôn ngữ thương mại (thang điểm 40)

Đại học Ngoại thương quy đổi 24 điểm thi tốt nghiệp bằng 27 điểm học bạ- Ảnh 7.

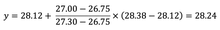
Ví dụ, trường lấy điểm trúng tuyển của chương trình tiêu chuẩn Kinh tế đối ngoại theo phương thức sử dụng kết quả thi tốt nghiệp THPT 2025 tổ hợp A00 là 27 điểm (x = 27). Như vậy, căn cứ bảng phân vị dành cho chương trình tiêu chuẩn, mức điểm chuẩn này sẽ thuộc khoảng phân vị 3 (khoảng 3), có kết quả thi tốt nghiệp THPT trong khoảng (26,75 - 27,30).

Khi đó điểm trúng tuyển tương đương với thí sinh hệ chuyên sử dụng kết quả học tập THPT 3 môn sẽ thuộc khoảng phân vị tương ứng 3 (khoảng 3) tại bảng 1, có giá trị điểm xét tuyển trong khoảng (28.12 - 28.38). Từ đó xác định các hệ số quy đổi tương ứng sẽ là: a = 26,75; b = 27,30; c = 28,12; d = 28,38.

Áp dụng công thức tính điểm trúng tuyển “y” tương đương đối với đối tượng HS hệ chuyên sử dụng kết quả học tập THPT từ điểm trúng tuyển theo phương thức sử dụng kết quả thi tốt nghiệp THPT “x = 27.00” theo tổ hợp A00 sẽ được tính như sau:

Đại học Ngoại thương quy đổi 24 điểm thi tốt nghiệp bằng 27 điểm học bạ- Ảnh 8.

Như vậy, điểm trúng tuyển của chương trình tiêu chuẩn Kinh tế đối ngoại theo phương thức sử dụng kết quả thi tốt nghiệp THPT năm 2025 của ba môn trong tổ hợp môn xét tuyển A00 của Trường là 27 điểm, tương đương với điểm trúng tuyển theo thí sinh hệ chuyên sử dụng kết quả học tập THPT là 28,24 điểm.

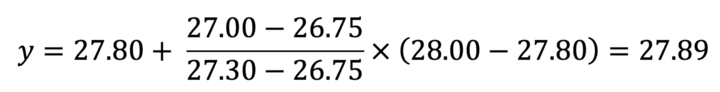
Tương tự, điểm trúng tuyển tương đương của đối tượng sử dụng kết quả kỳ thi đánh giá năng lực của Đại học Quốc gia Hà Nội (HSA), quy đổi theo thang điểm 30 sẽ thuộc khoảng phân vị tương ứng 3 (Khoảng 3) tại Bảng 1, có giá trị điểm xét tuyển trong khoảng (27,8- 28). Từ đó xác định các hệ số quy đổi tương ứng sẽ là: a = 26,75; b = 27,30; c = 27,80; d = 28.

Áp dụng công thức tính điểm trúng tuyển “y” tương đương đối với đối tượng sử dụng kết quả kỳ thi đánh giá năng lực của Đại học Quốc gia Hà Nội (HSA) từ điểm trúng tuyển kết quả thi tốt nghiệp THPT “x = 2&” sẽ được tính như sau:

Đại học Ngoại thương quy đổi 24 điểm thi tốt nghiệp bằng 27 điểm học bạ- Ảnh 9.

Vậy điểm trúng tuyển của chương trình tiêu chuẩn Kinh tế đối ngoại theo phương thức sử dụng kết quả thi tốt nghiệp THPT năm 2025 của ba môn trong tổ hợp môn xét tuyển A00 của Trường là 27.00 điểm, tương đương với điểm trúng tuyển theo đối tượng sử dụng kết quả kỳ thi đánh giá năng lực của Đại học Quốc gia Hà Nội (HSA) là 27.89 điểm.

Theo An An

VTC News

Trở lên trên