MỚI NHẤT!

Đọc nhanh >>

MỚI NHẤT – 111 chủ xe bị phạt nguội trong tháng 6/2025, mang giấy tờ tới nộp phạt

24-06-2025 - 13:50 PM | Sống

Các xe vi phạm trong danh sách dưới đây được yêu cầu liên hệ ngay với Công an thành phố Hà Nội để thực hiện nộp phạt theo đúng quy định của pháp luật.

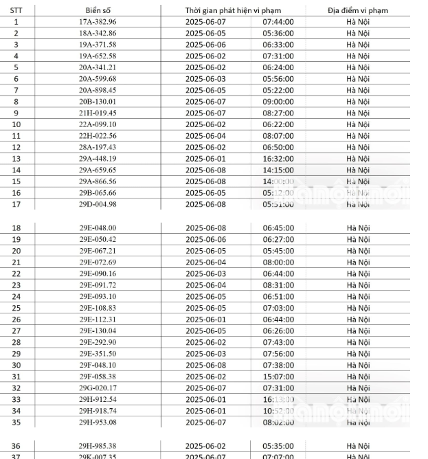
Ngay trong tuần đầu tiên của tháng 6-2025 (từ ngày 1-6 đến ngày 8-6), thông qua hệ thống camera giám sát, Phòng Cảnh sát giao thông (Công an thành phố Hà Nội) đã phát hiện, gửi thông báo vi phạm tới 111 chủ phương tiện.

Danh sách chi tiết các phương tiện như như sau:

MỚI NHẤT – 111 chủ xe bị phạt nguội trong tháng 6/2025, mang giấy tờ tới nộp phạt- Ảnh 1.

MỚI NHẤT – 111 chủ xe bị phạt nguội trong tháng 6/2025, mang giấy tờ tới nộp phạt- Ảnh 2.

MỚI NHẤT – 111 chủ xe bị phạt nguội trong tháng 6/2025, mang giấy tờ tới nộp phạt- Ảnh 3.

Cách tra cứu phương tiện bị phạt nguội

Người dân có thể tra cứu thông tin vi phạm giao thông phạt nguội qua các kênh chính thức như Cổng thông tin điện tử Cục Cảnh sát giao thông tại địa chỉ http://www.csgt.vn hoặc hệ thống tra cứu phạt nguội trên trang https://vpgt.vn. Ngoài ra, người vi phạm cũng có thể liên hệ trực tiếp với Phòng Cảnh sát giao thông – Công an tỉnh Vĩnh Phúc để được hỗ trợ và hướng dẫn chi tiết.

Về việc nộp phạt, theo quy định tại Nghị định 168/2021/NĐ-CP, người vi phạm có thể thực hiện nộp phạt tại Kho bạc Nhà nước hoặc các ngân hàng thương mại được ủy nhiệm thu. Ngoài ra, hình thức nộp phạt trực tuyến qua Cổng dịch vụ công quốc gia tại địa chỉ https://dichvucong.gov.vn cũng được khuyến khích sử dụng để tiết kiệm thời gian và thuận tiện. Người vi phạm cũng có thể đến trực tiếp trụ sở đơn vị Công an xử lý vi phạm hoặc gửi hồ sơ qua đường bưu điện để hoàn tất thủ tục.

Người vi phạm cần lưu ý rằng việc chậm trễ nộp phạt có thể dẫn đến bị cưỡng chế thi hành hoặc gặp khó khăn trong quá trình đăng kiểm xe. Vì vậy, các chủ phương tiện nên chủ động tra cứu và hoàn thành nghĩa vụ nộp phạt đúng hạn nhằm tránh phát sinh thêm rắc rối.

Tổng hợp

 

 

 

 

 

 

 

 

 

 

 

 

 

 

 

 

 

Theo PV

Đời sống & pháp luật

CÙNG CHUYÊN MỤC

XEM
Trở lên trên