MỚI NHẤT!

Đọc nhanh >>

232 xe có biển số sau nhanh chóng nộp phạt nguội theo Nghị định 168

17-05-2025 - 11:33 AM | Sống

232 xe có biển số sau nhanh chóng nộp phạt nguội theo Nghị định 168

Công an tỉnh Bình Thuận mới đây đã công bố danh sách các xe vi phạm trật tự an toàn giao thông trên tuyến Quốc lộ 1A, từ ngày 30/4/2025 đến ngày 14/5/2025.

Theo thông báo từ Phòng Cảnh sát giao thông (CSGT) Công an tỉnh Bình Thuận, từ ngày 30/4/2025 đến ngày 14/5/2025, thông qua hệ thống giám sát - xử lý vi phạm trật tự, an toàn giao thông trên tuyến Quốc lộ 1A đã phát hiện có 232 phương tiện vi phạm về TTATGT đường bộ. Trong thời hạn 10 ngày kể từ ngày vi phạm, Phòng CSGT gửi thông báo đến chủ phương tiện vi phạm, tổ chức, cá nhân có liên quan đến vi phạm hành chính được biết và phối hợp thực hiện giải quyết theo quy định.

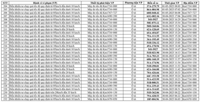
Danh sách các xe vi phạm dính phạt nguội cụ thể như sau: (Ảnh: Phòng CSGT Bình Thuận)

232 xe có biển số sau nhanh chóng nộp phạt nguội theo Nghị định 168- Ảnh 1.

232 xe có biển số sau nhanh chóng nộp phạt nguội theo Nghị định 168- Ảnh 2.

232 xe có biển số sau nhanh chóng nộp phạt nguội theo Nghị định 168- Ảnh 3.

232 xe có biển số sau nhanh chóng nộp phạt nguội theo Nghị định 168- Ảnh 4.

232 xe có biển số sau nhanh chóng nộp phạt nguội theo Nghị định 168- Ảnh 5.

232 xe có biển số sau nhanh chóng nộp phạt nguội theo Nghị định 168- Ảnh 6.

232 xe có biển số sau nhanh chóng nộp phạt nguội theo Nghị định 168- Ảnh 7.

232 xe có biển số sau nhanh chóng nộp phạt nguội theo Nghị định 168- Ảnh 8.

Bên cạnh đó, Phòng CSGT Công an tỉnh Bình Thuận yêu cầu chủ phương tiện, tổ chức, cá nhân có liên quan đến vi phạm hành chính đến các điểm tiếp dân của Phòng CSGT Công an tỉnh Bình Thuận hoặc trụ sở Phòng CSGT Công an tỉnh (nơi cư trú) để giải quyết vụ việc.

Quá thời hạn 20 ngày, kể từ ngày gửi thông báo vi phạm, chủ phương tiện, tổ chức, cá nhân có liên quan đến vi phạm hành chính không đến giải quyết hoặc Phòng CSGT Công an tỉnh Bình Thuận chưa nhận được thông báo kết quả giải quyết, xử lý vụ việc của Phòng CSGT Công an tỉnh (nơi cư trú) sẽ tiến hành gửi thông báo cảnh báo phương tiện giao thông vi phạm cho cơ quan đăng kiểm.

232 xe có biển số sau nhanh chóng nộp phạt nguội theo Nghị định 168- Ảnh 9.

Hình ảnh xe ô tô vi phạm trên tuyến Quốc lộ 1A do camera giám sát ghi lại. Ảnh: Phòng CSGT Bình Thuận

Kể từ ngày 1/1/2025, Nghị định 168/2024/NĐ-CP quy định xử phạt vi phạm hành chính về trật tự, an toàn giao thông đường bộ chính thức có hiệu lực. Nghị định này quy định về:

  1. Xử phạt vi phạm hành chính về trật tự, an toàn giao thông trong lĩnh vực giao thông đường bộ bao gồm: hành vi vi phạm hành chính; hình thức, mức xử phạt, biện pháp khắc phục hậu quả đối với từng hành vi vi phạm hành chính; thẩm quyền lập biên bản, thẩm quyền xử phạt, mức phạt tiền cụ thể theo từng chức danh đối với hành vi vi phạm hành chính về trật tự, an toàn giao thông trong lĩnh vực giao thông đường bộ.
  2. Mức trừ điểm giấy phép lái xe đối với từng hành vi vi phạm hành chính; trình tự, thủ tục, thẩm quyền trừ điểm, phục hồi điểm giấy phép lái xe để quản lý việc chấp hành pháp luật về trật tự, an toàn giao thông đường bộ của người lái xe.
  3. Các hành vi vi phạm hành chính trong lĩnh vực quản lý nhà nước khác liên quan đến trật tự, an toàn giao thông trong lĩnh vực giao thông đường bộ mà không quy định tại Nghị định này thì áp dụng quy định tại các Nghị định quy định về xử phạt vi phạm hành chính trong các lĩnh vực đó để xử phạt.

Để tra cứu phương tiện vi phạm, người dân có thể thực hiện theo 3 cách dưới đây:

- Tra cứu trên website chính thức của Cục Cảnh sát Giao thông: https://www.csgt.vn/tra-cuu-phuong-tien-vi-pham.html

- Tải ứng dụng “Tra cứu phạt nguội toàn quốc” để tra cứu trên điện thoại (hỗ trợ cả 2 hệ điều hành phổ biến là iOS và Android)

- Tải ứng dụng VNeTraffic - ứng dụng giao thông do Bộ Công an quản lý để kiểm tra thông tin vi phạm hoặc gửi phản ánh trực tiếp đến cơ quan chức năng.

Nguyên An

Đời sống pháp luật

Trở lên trên