883 chủ xe ô tô, xe máy bị phạt nguội nhanh chóng nộp phạt theo Nghị định 168
Đề nghị các tổ chức, cá nhân có phương tiện trong danh sách vi phạm, chủ động liên hệ để giải quyết theo quy định.
- 29-04-2026Nhìn gần công trình vượt biển hơn 2.400 tỷ đồng thông xe ngày 30/4
- 29-04-2026Từ ngày mai, hàng triệu người dân ở tỉnh có quy mô kinh tế lớn thứ 4 cả nước đón tin vui
- 29-04-2026Gần 670km cao tốc, hơn 40km hầm đường bộ và loạt dấu ấn của Đèo Cả trên bản đồ hạ tầng giao thông Việt Nam
Theo thông tin từ Công an tỉnh Quảng Ninh cho biết, trong tuần từ ngày 20/4 đến ngày 26/4, qua phương tiện thiết bị kỹ thuật nghiệp vụ, Phòng Cảnh sát giao thông Công an tỉnh, đã phát hiện 883 trường hợp vi phạm chạy quá tốc độ.
Phòng Cảnh sát giao thông Công an tỉnh đề nghị chủ phương tiện, người vi phạm chủ động tra cứu, chấp hành việc xử lý theo quy định. Đồng thời, khuyến cáo người dân nghiêm chỉnh tuân thủ quy định về tốc độ, chú ý quan sát biển báo giao thông, điều khiển phương tiện an toàn, góp phần phòng ngừa tai nạn và bảo đảm trật tự, an toàn giao thông trên địa bàn.
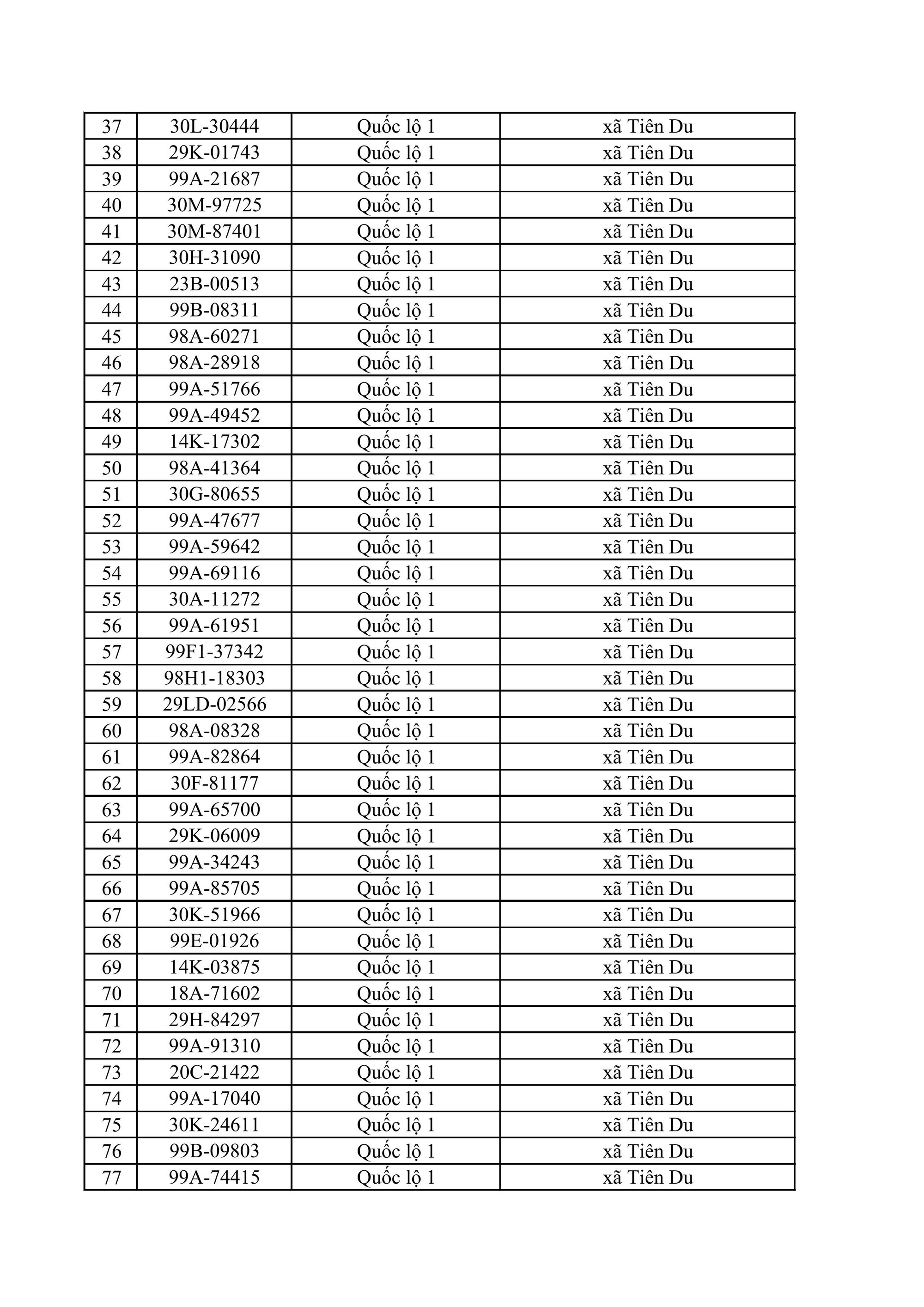
Danh sách các phương tiện phạt nguội bao gồm:






















Cách tra cứu phạt nguội
Để tra cứu phương tiện vi phạm, người dân có thể truy cập vào đường link sau đây và thực hiện theo hướng dẫn: https:www.csgt.vn/tra-cuu-phuong-tien-vi-phạm.html; hoặc có thể tra cứu vi phạm phạt nguội thông qua ứng dụng VneTraffic.
Cách nộp phạt nguội online
Nộp phạt nguội thông qua Cổng Dịch vụ của Bộ Công an
Để thực hiện nộp phạt, người dân thực hiện theo các bước sau đây:
Bước 1: Truy cập địa chỉ https://dichvucong.bocongan.gov.vn/.
Bước 2: Chọn mục “Nộp phạt xử lý hành chính trong lĩnh vực giao thông”.
Bước 3: Chọn mục “Nộp phạt xử lý hành chính trong lĩnh vực giao thông đường bộ”.
Bước 4: Bấm chọn “Nộp hồ sơ” sau đó thực hiện theo hệ thống để thực hiện nộp phạt.
Đời sống pháp luật