342 chủ xe ô tô, xe máy bị phạt nguội ở Hà Nội nhanh chóng nộp phạt theo Nghị định 168
Hiện tại, Phòng CSGT đã hoàn tất thủ tục gửi thông báo vi phạm phạt nguội đến địa chỉ đăng ký của các chủ xe.
- 06-01-2026583 chủ xe máy, ô tô có biển số sau nhanh chóng nộp phạt nguội theo Nghị định 168
- 03-01-2026282 chủ xe vi phạm trong 2 ngày đầu năm 2026 nhanh chóng nộp phạt nguội theo Nghị định 168
- 01-01-2026Danh sách phạt nguội mới nhất, các chủ xe nhanh chóng nộp phạt theo Nghị định 168
Phòng Cảnh sát giao thông (CSGT) Công an TP Hà Nội vừa thông báo danh sách 342 phương tiện vi phạm được hệ thống camera AI ghi hình, trong đó các lỗi phạt nguội xe máy chiếm đa số với 260 xe mô tô, xe gắn máy và 82 xe ô tô.
Hệ thống AI đã tự động nhận diện các lỗi phổ biến như vượt đèn đỏ, đi sai làn đường, không đội mũ bảo hiểm và gửi dữ liệu về trung tâm điều khiển để xác minh chủ phương tiện.
Hiện tại, Phòng CSGT Công an TP Hà Nội đã hoàn tất thủ tục gửi thông báo vi phạm đến địa chỉ đăng ký của các chủ xe, người vi phạm liên hệ để nộp phạt theo Nghị định 168.
Việc công khai danh sách và đẩy mạnh xử lý qua camera AI nằm trong lộ trình hiện đại hóa công tác tuần tra, kiểm soát, giúp nâng cao ý thức tự giác của người tham gia giao thông mà không cần sự có mặt trực tiếp của lực lượng chức năng trên đường.
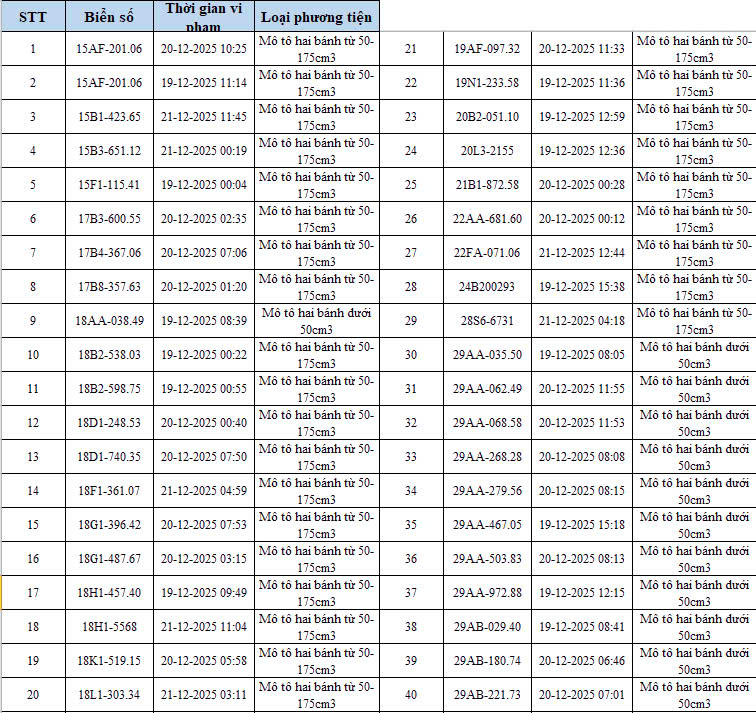
Danh sách chi tiết các phương tiện bị phạt nguội như sau:
Danh sách phạt nguội ô tô
Danh sách phạt nguội mô tô, xe máy
Cách tra cứu phạt nguội
Để tra cứu phương tiện vi phạm, người dân có thể truy cập vào đường link sau đây và thực hiện theo hướng dẫn: https:www.csgt.vn/tra-cuu-phuong-tien-vi-phạm.html; hoặc có thể tra cứu vi phạm phạt nguội thông qua ứng dụng VneTraffic.
Cách nộp phạt nguội online
Nộp phạt nguội thông qua Cổng Dịch vụ của Bộ Công an
Để thực hiện nộp phạt, người dân thực hiện theo các bước sau đây:
Bước 1: Truy cập địa chỉ https://dichvucong.bocongan.gov.vn/.
Bước 2: Chọn mục “Nộp phạt xử lý hành chính trong lĩnh vực giao thông”.
Bước 3: Chọn mục “Nộp phạt xử lý hành chính trong lĩnh vực giao thông đường bộ”.
Bước 4: Bấm chọn “Nộp hồ sơ” sau đó thực hiện theo hệ thống để thực hiện nộp phạt.
Phụ nữ mới